Crise sanitaire du Coronavirus Covid-19
Modélisation d'une épidémie, partie 2
Autres modèles et résolution numérique
Piste noire Le 19 avril 2020
La crise sanitaire mondiale du Coronavirus Covid-19 a fait émerger le rôle des modélisations mathématiques dans la prise de décisions politiques et sanitaires. Dans l'article précédent, nous avons introduit le modèle SIR et nous avons discuté de l'effet des mesures sanitaires en illustrant leur impact sur l'évolution de l'épidémie. Nous allons maintenant définir le modèle SEIR et le complexifier grâce à une structure en âge. De plus, une courte partie (difficile mais non-essentielle, qui peut donc être évitée par le lecteur ou la lectrice) a pour objet une approche succincte des méthodes de résolution numérique utilisées. En fin d'article, une simulation interactive utilisant de nombreux paramètres est disponible.
Avant de commencer...
Nous rappelons que le modèle SIR comporte trois populations (S pour saine,
I pour infectée et R pour retirée), qu'il est schématisé ainsi :
où
\(\beta\) représente le taux d'infection et
\(\gamma\) le taux de guérison, et que son système est le suivant :
\[\begin{cases}
\displaystyle\vphantom{\frac{b^{b^{b^a}}}{a}}
\frac{dS}{dt}(t) \!\!\!\!\!&= -\beta S(t)I(t)\\[0.5ex]
\displaystyle
\frac{dI}{dt}(t) \!\!\!\!\!&=\beta S(t)I(t)-\gamma I(t)\\[0.5ex]
\displaystyle
\frac{dR}{dt}(t) \!\!\!\!\!&=\gamma I(t)
\end{cases}\]
Les définitions du modèle et de ces paramètres sont disponibles ici : Modélisation d'une épidémie et [HW].
Le modèle SEIR
Le modèle SEIR est un peu plus élaboré : il prend en compte trois hypothèses de plus que
le modèle SIR, la démographie de la population en particulier. La population totale
\(N(t)\) évolue donc au cours du temps
- Une nouvelle sous-population est ajoutée : les personnes
infectées non-infectieuses (exposed), qui ne sont donc pas contagieuses,
représentées par la fonction
\(E(t)\) ; ce qui permet de prendre en compte la durée d'incubation (via \(\alpha\) le taux d'incubation) d'une maladie. En reprenant le schéma et le système du modèle SIR, et en ajoutant un terme\({\color{blue}{\pm \alpha E(t)}}\), on obtient :
\[\begin{cases}
\displaystyle\vphantom{\frac{b^{b^{b^a}}}{a}}
\frac{dS}{dt}(t) \!\!\!\!\!&=-\beta S(t)I(t)\\[0.5ex]
\displaystyle
{\color{blue}{\frac{dE}{dt}(t)}} \!\!\!\!\!&=\beta S(t)I(t){\color{blue}{-\alpha E(t)}}\\[0.5ex]
\displaystyle
\frac{dI}{dt}(t) \!\!\!\!\!&={\color{blue}{\alpha E(t)}}-\gamma I(t)\\[0.5ex]
\displaystyle
\frac{dR}{dt}(t) \!\!\!\!\!&=\gamma I(t)
\end{cases}\]
-
Le taux de natalité \(\nu\) de la population est aussi considéré.
Les personnes sont supposées naître saines, on ajoute alors un terme
\({\color{lime}{\nu N(t)}}\) à la première ligne :
\[\begin{cases}
\displaystyle\vphantom{\frac{b^{b^{b^a}}}{a}}
\frac{dS}{dt}(t) \!\!\!\!\!&=-\beta S(t)I(t){\color{lime}{+\nu N(t)}}\\[0.5ex]
\displaystyle
{\color{blue}{\frac{dE}{dt}(t)}} \!\!\!\!\!&=\beta S(t)I(t){\color{blue}{-\alpha E(t)}}\\[0.5ex]
\displaystyle
\frac{dI}{dt}(t) \!\!\!\!\!&={\color{blue}{\alpha E(t)}}-\gamma I(t)\\[0.5ex]
\displaystyle
\frac{dR}{dt}(t) \!\!\!\!\!&=\gamma I(t)
\end{cases}\]
-
Enfin, on complète avec l'ajout du taux de mortalité \(\mu\)
de la population. Une personne pouvant décéder quelque soit son état
(S, E, I ou R), et de cause non liée avec l'épidémie, on retire donc ces
personnes de chaque ligne (soit
\({\color{red}{-\mu S(t)}}\), soit\({\color{red}{-\mu E(t)}}\), soit\({\color{red}{-\mu I(t)}}\), soit \({\color{red}{-\mu R(t)}}\) selon la sous-population considérée) pour obtenir :
\[\begin{cases} \displaystyle\vphantom{\frac{b^{b^{b^a}}}{a}} \frac{dS}{dt}(t) \!\!\!\!\!&=-\beta S(t)I(t){\color{lime}{+\nu N(t)}}{\color{red}{-\mu S(t)}}\\[0.5ex] \displaystyle {\color{blue}{\frac{dE}{dt}(t)}} \!\!\!\!\!&=\beta S(t)I(t){\color{blue}{-\alpha E(t)}}{\color{red}{-\mu E(t)}}\\[0.5ex] \displaystyle \frac{dI}{dt}(t) \!\!\!\!\!&={\color{blue}{\alpha E(t)}}-\gamma I(t){\color{red}{-\mu I(t)}}\\[0.5ex] \displaystyle \frac{dR}{dt}(t) \!\!\!\!\!&=\gamma I(t){\color{red}{-\mu R(t)}} \end{cases}\]
Voici ce que nous pouvons obtenir après résolution numérique de ce système.
- Solution du modèle SEIR
- Les taux utilisés sont les suivants :
0,009 (natalité) ; 0,01 (mortalité) ;
0.75 (incubation) ; 0.05 (guérison) et 0.8 (transmission).
Observations : Le taux de mortalité est supérieur au taux de natalité : la population diminue (courbe violette). Le pic des personnes infectées non-infectieuses (courbe verte) précède le pic de la courbe (jaune) représentant les personnes infectées infectieuses. De plus, une fois le pic (de la courbe jaune, personnes infectées) passé, la courbe décroit ; simultanément, les courbes des personnes retirés (rouge) et saines (bleue) croissent.
Vous pouvez à présent vous rendre compte de l'évolution de la solution du système SEIR en jouant sur les paramètres grâce à cette simulation interactive :
Applet en ligne https://experiences.mathemarium.fr/simulations/Covid19-SEIR
Une question se pose : comment calculer tous ces paramètres
Comment calculer le taux de mortalité d'une maladie ? La réponse semble simple, on divise le nombre de morts par le nombre de personnes contaminées. Mais il y a un piège ! [1] Pour de nombreux virus (et c'est le cas du Covid-19), le nombre de personnes asymptomatiques [2] n'est pas négligeable, le nombre de personnes contaminées est donc plus grand et le taux de mortalité plus faible. Une discussion sur ce sujet fait l'objet de l'article Taux de mortalité du virus Ebola de ce site.
Dans notre modélisation, nous avons utilisé de fortes hypothèses : une personne retirée est immunisée (c'est à dire qu'il n'y a pas de rechute, ce qui est le cas de la varicelle mais pas de la grippe saisonnière par exemple), les personnes naissent saines, etc. Le dépliant ci-dessous présente quelques modèles SEIR modifiés [ST] pour tenir compte de ces paramètres et leurs effets sur les courbes.
D'autres modèles SEIR
Malgré la complexification du modèle, il semble que de nombreux
paramètres ne soient pas encore pris en compte par le modèle SEIR. En
effet, pour l'instant nous regardons l'évolution de l'épidémie
uniquement par rapport au temps
Modèle SEIR structuré par âge
Dans ce modèle, on considère que le comportement de la maladie dépend
de l'âge de la personne (ce qui est le cas pour le Covid-19), on
obtient alors des équations aux dérivées partielles (EDP). En reprenant
grosso-modo le système du modèle SEIR, et avec les mêmes sous-populations
\(S(a,t), E(a,t), I(a,t)\) et \(R(a,t)\) que précédemment mais en fonction du temps
\(t\) et de l'âge
Pourquoi ce choix et illustration
Pour plus de précisions et de renseignements sur la gaussienne (aussi connue sous le nom de « la courbe en cloche »), nous vous conseillons, selon votre niveau et/ou votre intérêt, de lire ça (piste verte) ou ça (piste bleue) ou bien, pour les plus téméraires, ça (piste noire). Il s'agit du même article écrit pour trois niveaux de lecture différents.
Une fois tous ces paramètres définis :
Comment lire ce système d'équations ?
De manière analogue aux modèles SIR et SEIR, les variations en âge \(a\) et en temps
\(t\) sont représentées par des dérivées partielles (car elles ne prennent en compte
chacune qu'une partie des deux données) :
\(\frac{\partial}{\partial t}\) pour le temps et
\(\frac{\partial}{\partial a}\) pour l'âge. Ensuite la lecture du système est semblable
à celle du modèle SEIR : un terme avec
\(-\mu(a)\) représente sur chaque ligne les personnes décédées, le terme
\(\pm \lambda(a,t) S(a,t)\) aux lignes (2.1) et (2.2) représente le nombre de personnes saines
qui deviennent infectées non infectieuses, le terme
\(\pm\alpha(a)E(a,t)\) celui des personnes non infectieuses (2.2) qui le deviennent (2.3),
et enfin le terme
En utilisant une méthode numérique plus compliquée que celle pour les modèles SIR et SEIR, nous pouvons obtenir ces graphiques :

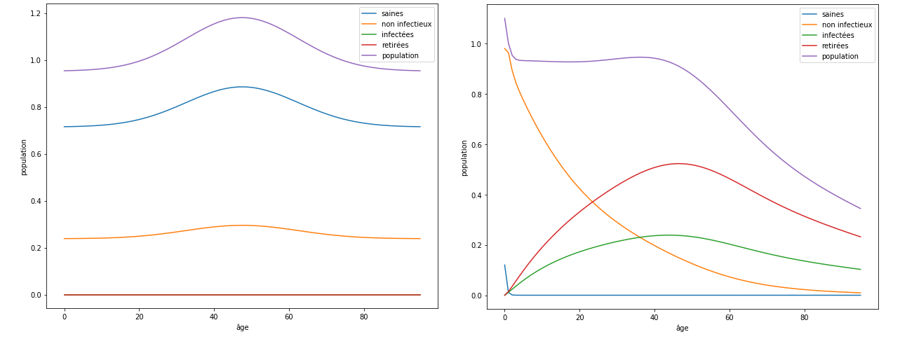
- Comparaison de l'épidémie au début (\(t=0\)) et à la fin en fonction de l'âge
- Le taux de natalité est de 0,009. Les autres taux sont
modélisés en fonction de l'âge :
une fonction proportionnelle à la fonction carrée pour la mortalité (la taux augmente en fonction de l'âge),
une fonction affine décroissante pour la guérison (le taux diminue fortement avec l'âge),
une fonction affine croissante pour l'incubation (le taux augmente avec l'âge :
les personnes âgées vont devenir infectées infectieuses, passage de E à I,
avec un plus grand taux que les personnes plus jeunes).
Enfin, le taux de transmission utilisé est calculé en utilisant une loi normale.
Ces choix peuvent être modifiés et ajustés selon le virus considéré.
On voit clairement (sur le graphique de droite, courbe violette) que la population de plus de 60 ans a été fortement diminuée suite à l'épidémie, ce qui n'est pas le cas de la population âgée de 0 à 25 ans environ. De plus, le nombre de personnes infectées non-infectieuses (courbe jaune, à droite) est plus élevé chez les jeunes entre 0 et 20 ans que chez les personnes âgées au-dessus de 60 ans.
L'étude beaucoup plus approfondie du modèle SIR/SEIR structuré par âge est disponible dans [KWI] ou dans [ZK].
Une approche des techniques de résolution numérique des systèmes SIR et SEIR
Les plus avancés mathématiquement auront reconnu que les modèles SIR et SEIR font appel à des équations différentielles ordinaires (EDO) non-linéaires pour lesquelles nous n'avons pas de résolution explicite, nous n'avons pas de formule donnant directement la réponse. Le modèle SEIR structuré pas âge, quant à lui, fait apparaître des dérivées partielles (EDP). Il faut dès lors avoir recours à des méthodes de résolution numérique [3] pour les résoudre. Cette partie étant nettement plus technique et n'apportant pas grand-chose à la compréhension du problème, elle est rédigée dans le bloc dépliant suivant et est laissée aux lecteurs les plus expérimentés.
Résolution numérique
D'autres modèles... encore plus compliqués
Jusqu'à maintenant, nous avons considéré l'évolution d'une épidémie uniquement selon l'âge et le temps. Il manque (au moins) un paramètre : l'espace. L'épidémie ne va pas se comporter de manière identique d'un pays à l'autre ou d'une ville à l'autre. On peut en effet prendre une structure de population plus complexe : considérer le flux des personnes (avions, trains, bateaux, voitures), leurs contacts (notamment lors de leurs déplacements) et prédire l'évolution de l'épidémie dans l'espace ; ceci afin de prévoir par exemple à quel endroit il est plus « intéressant » de vacciner en premier, ou quel aéroport il faut fermer. De plus, les modèles épidémiologiques peuvent être plus compliqués en considérant, par exemple, les délais (durée de la maladie, etc.), les méthodes de transmission diverses d'un même virus, la variation du taux de guérison selon le nombre de malades et les différents niveaux d'infectiosité. Sachez que ces modèles existent mais qu'ils ne seront pas détaillés ici.
Pourquoi complexifier les modèles ? Ajouter plus de paramètres a un but : obtenir une simulation plus fine et un résultat plus proche de la réalité. Le niveau de complexité du modèle dépend en effet du nombre de paramètres choisis (structure de la population, interactions possibles, phénomènes à prendre ou pas en compte, etc.) et du modèle utilisé (SIR, SEIR, SEIR âge ou d'autres). Ces choix sont en fait déterminés selon l'objectif de l'étude à mener.
C'est le cas de la simulation interactive suivante qui est basée sur un modèle plus complexe que le seul modèle SIR : elle reprend les trois sous-populations (S, I et R) ainsi que la natalité et la mortalité du modèle SEIR, mais également les déplacements et les contacts des individus modélisés de manière aléatoire. Le confinement y est de plus pris en compte.
Les personnes saines (qui peuvent être infectées), infectées, retirées (donc guéries et immunisées) et décédées sont respectivement représentées par des points gris, rouges, verts et des croix noires. Les personnes confinées sont représentées par un point entouré d'un cercle plus épais : elle peuvent être contaminées mais ne peuvent contaminer personne [5].
Applet en ligne https://experiences.mathemarium.fr/simulations/Covid19-idm-complete
Conclusion et mise en garde
Le tour d'horizon des modèles épidémiologiques proposé ici n'est bien évidemment pas exhaustif, il aura néanmoins permis d'en découvrir certains parmi les plus simples. Leur résolution numérique (et donc leur implémentation sur ordinateur) reste indispensable en l'absence de méthode de résolution exacte.
Il convient de rappeler pour conclure que les modélisations restent des outils mathématiques qui aident à prévoir l'évolution d'une épidémie donnée ; ils sont certes précis et rigoureux, mais calculés à un moment donné, avec des paramètres donnés et dans un contexte plutôt idéal. C'est pourquoi, à l'image des sondages et des statistiques, il est nécessaire de les utiliser, de savoir les lire mais aussi de les comprendre. Il faut ainsi trouver le bon équilibre entre : considérer sérieusement les modèles d'épidémies obtenus après modélisation et prendre du recul sur la situation.
Références
[HW] Howard Weiss, The SIR model and the Foundations of Public Health, MATerials MATemàtics, Publicació electrònica de divulgació del Departament de Matemàtiques de la Universitat Autònoma de Barcelona, 2013.
[ST] Suzanne Touzeau, Modèles épidémiologiques, AgroParisTech, 2010.
[KWI] Toshikazu Kuniya, Jinliang Wang, Hisashi Inaba, A multi-group SIR epidemic model with age structure, Discrete and Continuous Dynamical Systems, 2016.
[ZK] Gul Zamana, Asaf Khana, Dynamical aspects of an age-structured SIR endemic model, Computers and Mathematics with Applications, 2016.
L'auteur et la rédaction d'Images des Mathématiques remercient Pierre-Antoine Guihéneuf, Jérôme Buzzi et Clément Caubel pour leur relecture rapide et attentive.
Notes
[1] C'est ce qu'on appelle parfois le taux de létalité, à ne pas confondre donc avec le taux de mortalité.
[2] Ce sont les personnes infectées mais qui n'ont aucun symptôme, ou très peu. Elles sont donc très difficiles à repérer mais peuvent néanmoins transmettre le virus. Elles doivent/devraient cependant être prises en compte dans le calcul. On estime, au moment de la rédaction de cet article, que le taux de personnes asymptomatiques peut aller jusqu'à \(2/3\) des personnes infectées par le Covid-19.
[3] Tous les calculs et les graphiques de cet article ont été obtenus avec le langage de programmation Python.
[4] Attention,
\(t^n\) n'est pas une puissance, c'est une notation ! Elle permet d'être cohérent lorsqu'on écrit une valeur approchée
\(x^n_j\) au temps \(t\) et en espace
[5] C'est un choix de modélisation des auteurs. Si les personnes confinées sont totalement isolées, elles sortent finalement du problème, et on se ramène à un problème avec moins de population : ça ne correspond pas à la réalité. Avec le confinement, on minimise les interactions mais elles existent (on va chercher ses courses, on reçoit du ravitaillement de l'extérieur, on est dépendant et une infirmière passe, on reçoit un colis…).










Commentaire sur l'article
Modélisation d'une épidémie, partie 2
le 6 avril à 17:33, par ROUX